安裝說明
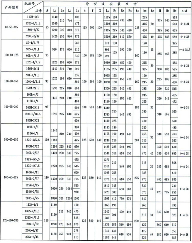
1、泵的安裝是否合理,對泵的正常運行和使用壽命有很重要的影響,所以安裝前必須仔細校正,不得草率,泵的外形及安裝尺寸,詳見困5和表4。
2、必須保證泵在工作時不超過其允許汽蝕余量。泵的吸上高度《或倒灌高度)必須根據泵的汽蝕余量特性,管路阻力損失特性及高溫水的吸入液面壓力來確定。
泵吸上使用情況下,應在吸入管路上裝上底閥,并在出口管路上設置壤液螺孔或閥門,以供起動前灌泵之用;
泵倒灌使用情況下,應在吸入管路上裝上閥門和過濾器,以免雜物進入。
3、吸入和吐出管路應該另有支架,不能用泵作支承。
4、安裝泵的地點,應便于巡回檢查和檢修。
5、安裝順序
① 將機組放在埋有地腳螺栓的基礎上,在底座和基礎之間放置成對的楔墊作找正之用。
② 松開聯軸器。用水平儀分別放在泵軸或底座上,通過調整禊墊,找正機組的水平后,適當擰緊地腳螺栓,以防走動。
③ 用混凝土灌注底座和地腳螺檢孔。
④ 待混凝土干涸后,應擰緊地腳螺栓,^并重新檢查泵軸的氷平度。
⑤ 在接好管路及確定原動機轉動方向以后,接上聯軸器,再核對一遍軸的同心度,測量聯軸器的外園上下,左右的差異不得超過0.1mm,兩聯軸器端面間隙,在一周內最大和最小的間咪差不得超過0.3mm.
⑥ 在機組實際運行3 — 4小時后作最后檢查,如無不良現象,則認為安裝合格。
IH型不銹鋼泵(注意事項與故障)
一、注意事項:
本型號泵可根據不同的使用條件安裝不同形式的機械密封,〈如內裝單端面平衡型和非平衡型, 雙端面平衡型及非平衡型,外裝式機械密封等。〉根據所選用密封型式的不同,其使用方法和注意事
項也有所不同,具體情況請參閱機械密封安裝使用說明書、GB3215-82“煉廠、化工及石油化工流程用離心泵通用技術條件",下面僅提幾點一般應注意的事項。
1. 由于機械密封一般適用在清潔的,無懸浮顆粒的介質中使用,因此,對新安裝的管路系統和儲液灌,應認真沖洗干凈,嚴防固體雜質進入機械密封端面帀使密封失效。
2. 在易結晶的介質中,使用機械密封應注意經常沖洗。停車后重新起動前,要將機械密封上的結晶清洗干凈。
3. 拆卸機械密封應仔細,不許用手錘,鐵器等敲擊,以免破壞動、靜環密封面。
4. 如果有污垢拆不下來時,應設法清除污垢,沖洗干凈后再進行拆卸,以免損壞密封元件。
5. 安裝機械密封前,應檢查所有密封元件是否有失效或損壞,如有則應重新修復或更換。
6. 應嚴格檢查動環與靜環的相對磨擦密封面,不允許有任何細微的劃痕、碰傷等缺陷。所有另部件,包括泵體,葉輪,密封腔等在裝配前均應沖洗千凈,尤其是動、靜環端面,要用清潔,柔軟的布或棉紗認真擦拭干凈,然后涂上一層清潔的油脂或機油。
7. 裝配中要注意消除偏差,緊固螺釘時,要均勻擰緊,避免發生偏斜,使密封失效。
8. 正確調整彈黃的壓縮量,泵安裝好以后,以手扳動轉子時,應感覺到密封彈黃既有一定的壓縮量,而又能輕快、靈活地轉動沒有咬緊的感覺。如感覺太緊或盤不動,則應適當調松一些。
9.對有外部沖洗的機械密封,起動前應先開啟沖洗波,使密封腔內充滿密封液。停車時,先停泵,后關密封沖洗液。
二、故障與排除:
|
故障的可能原因
|
泵輸不出液體
|
流量、揚程不足
|
功率消耗過大
|
產生振動及躁音
|
密封處泄漏過多
|
軸封(包括填料函)發熱
|
泵過份發熱及轉不動
|
軸承發熱及軸承磨損
|
消除方法
|
|
泵內或吸入管內留有空氣
|
0
|
0
|
|
0
|
|
|
|
|
重新灌泵排除空氣
|
|
吸上揚程過高或灌注高不夠
|
0
|
0
|
|
0
|
|
|
|
|
降低泵位,增加進口處壓力
|
|
吸入管經過小或有雜物諸塞
|
0
|
0
|
|
0
|
|
|
|
|
加大吸入管徑,清除#塞
|
|
吸入管浸入深度不夠或漏氣
|
0
|
0
|
|
|
|
|
|
|
增大浸入深度或檢修管路
|
|
轉速過高或過低
|
0
|
0
|
0
|
|
|
|
|
|
按規定要求檢查原動機轉速
|
|
泵轉向不對
|
0
|
0
|
|
|
|
|
|
|
調整轉向
|
|
總揚程與泵揚程不符
|
0
|
0
|
0
|
|
|
|
|
|
降低吐出系統阻力或高度
|
|
介質重度與粘度與果要求不符
|
0
|
0
|
0
|
|
|
|
|
|
應進行換算
|
|
在流量過小時運轉產生振動
|
|
|
|
0
|
0
|
|
0
|
0
|
加大流量或設旁通循環管
|
|
泵與電機軸線不一致或軸穹曲
|
|
|
0
|
0
|
|
0
|
0
|
0
|
校正
|
|
轉動部分與固定部分有磨擦
|
|
|
0
|
0
|
|
|
0
|
0
|
檢修泵或改善使用.工況
|
|
軸承磨損嚴重或損壞
|
|
|
|
0
|
|
0
|
0
|
0
|
更換之
|
|
密封環磨損過多
|
|
0
|
0
|
|
|
|
|
|
更換之
|
|
軸套、'填料或動靜钚磨損過多
|
|
|
0
|
|
0
|
0
|
0
|
|
更換之
|
|
填料〈或機械密封)選用或安裝不當
|
|
|
0
|
|
0
|
0
|
0
|
|
按使用要求重新選用或安裝
|
|
轉動部分不平衡引起振動
|
|
|
|
0
|
0
|
0
|
0
|
0
|
檢查原因設法消除
|
|
油室油量過多(或油過臟)
|
|
|
0
|
0
|
|
|
|
0
|
按油位要求計加油〖或換新油〉
|
|
管路或泵內有.雜物堵塞
|
0
|
0
|
|
0
|
|
|
|
|
檢查并排除
|
|
密封液壓力不當
|
|
|
|
|
0
|
0
|
|
|
應按密封腔前的壓力,加大0.049~0.147MPa
|
|
填料壓蓋過緊或過松
|
|
|
0
|
|
0
|
0
|
|
|
適當調整之
|
一、拆卸與裝配:
拆卸:
由于采用了加長聯軸器,拆卸泵時,不必拆卸進、出口管路,泵體和電機,只需拆下加長聯軸器中的中間聯軸器,即可拆出轉子部件,進行維修、保養。
1、拆下泵體上的泄液管堵和懸架體上的放油管堵,放凈泵內液體和懸架體內的潤滑油。(注: 如泵上還有另外附加管路亦應拆下)。
2、拆開泵體與中間支架的聯結、并將中間支架、懸架部件和泵蓋等全部轉子部件從泵體中一起退出。
3、拆下,葉輪螺母、取下葉輪和鍵。
4、將泵蓋連同軸套、機械密封端蓋和稞械密封等部件一起從軸上退出。注意勿使軸套相對于泵蓋等發生滑動,然后再拆下機械密封端蓋,將機械密封連同軸套一起取下,再將軸套和機械密封拆開。
如果密封采用填料,則可從泵蓋中直接拆下軸套,再順次拆下填料壓蓋,填料和填料環等。
如果密封采用特殊結構,應注意不同的拆卸方法。
5、拆下中間支架與懸架支架。
6、拆下泵聯軸器和鍵。
7、拆下懸架體兩端的防塵盤和軸承的前、后蓋,再將軸連同軸承一起從懸架體內取下。
8、從泵軸上拆下軸承。
裝配
與拆卸程序相反進行。
二、起動、運行和停止:
1. 起動前準備
1) 起動前要把泵和現場清理千凈。
2) 檢查托架內潤滑油量是否適量〈油面在油位計中心線2mm左右)油位計是否完好。
3) 未接聯軸器前檢查原動機的轉向,與泵的轉向箭頭一致后,接好聯軸器。
4) 在裝好機械密封或填料和聯軸器后可方使地用手轉動泵軸,應無碰擦現象,并將聯軸器的防護罩安裝好。
5) 泵在吸上情況下使用,起動前應灌泵或抽真空;泵在倒灌情況下使用,起動前應用所輸送液體將泵灌滿,驅除泵中的空氣后,將吐出管的閘閥關閉。
6) 起動前檢查基礎螺檢有無松動。壓蓋是否歪斜,以及潤滑油和冷卻水的供應情況。
2. 起動
1) 關閉進出口壓力(或真空)計和出水閥門、(如有旁通管、此時也應關閉。〉起動電機(先點動、確認泵轉向正確后,才開始正式運行。),然后打開進出口壓力(或真空)計,當泵達到正常轉速,且儀表指出相應壓力時,再慢慢打開出水閥門,調節到需要的工況。在吐出管路關閉的情況下,泵連續工作的時間,不能超過3分鐘。
2) 起動過程中要時時注意原動機的功率讀數及泵的振動情況,振動數不應超過0.06毫米,測定部位是軸承座。
3) 密封情況:機械密封應無泄漏、發熱現象、填料密封^I呈連續滴流狀態。
3. 運行
1) 經常檢查泵和電機的發熱情況(軸承的溫升不應超過75℃〉及油位計供油情況。〈一般每運行1500小時后,要全部更換潤滑油一次〉。
2) 不能用吸入閥來調節流量,避免產生汽蝕。
3) 泵不宜在低于30%殳計流量下連續運轉,如果必須在該條件下連續運轉,則應在出口處安裝旁通管,排放多余的流量。
4) 注意泵運轉有無雜音,如發現異常狀態時,應及時消除或停車檢查。
4. 停止
1) ?慢關閉吐出口管路閘閥〈如果泵在倒灌情況下使用,還要關閉吸入管路的閘閥)、并關閉各種儀表的開關。
2) 切斷電源
3) 如果密封采用外部引液時,還要關閉外引液閥門。
4) 如果環境溫度低于液體凝固點時,要放凈泵內的液體,以防凍裂。
5) 如果長時間停車不用,除將泵內的腐蝕性液體放凈外,各零部件應拆卸清洗干凈,尤其是密封腔。是將泵拆下清洗后重新裝好,除涂油防銹處理和封閉泵進、出口外,還應定期檢I